Ngày 22/10, Phòng CSGT Công an TP Hà Nội cho biết, trong 10 ngày đầu tháng 10 (từ ngày 1 đến 10/10), đơn vị đã phát hiện và ghi nhận 41 trường hợp ô tô, xe máy vi phạm thông qua hệ thống camera giám sát giao thông để tiến hành phạt nguội.
Đáng chú ý, trong danh sách các phương tiện ô tô vi phạm được công bố, một số biển số xe được ghi kèm ký tự "T" hoặc "V" ở phía sau, gây tò mò cho nhiều người dân về ý nghĩa của chúng.

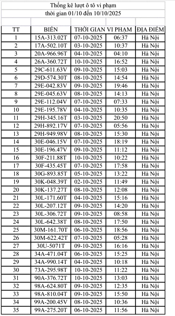
Danh sách ô tô bị phạt nguội từ ngày 1 đến 10/10 tại Hà Nội
Trao đổi với phóng viên về vấn đề này, một cán bộ Đội Chỉ huy giao thông và điều khiển đèn tín hiệu giao thông (Phòng CSGT Hà Nội) cho biết, ký tự "T" là để phân biệt xe biển trắng (cấp cho xe của các tổ chức, cá nhân trong nước), trong khi ký tự "V" là dành cho xe biển vàng (cấp cho xe hoạt động kinh doanh vận tải).
"Việc ký hiệu như vậy để giúp người dân dễ nhận biết phương tiện cá nhân và phương tiện kinh doanh vận tải", vị cán bộ nói.
Cơ quan chức năng cũng hướng dẫn người dân các cách tra cứu và xử lý vi phạm. Cụ thể, chủ phương tiện có thể tra cứu thông tin phạt nguội trên trang thông tin điện tử của Cục CSGT (Bộ Công an) tại địa chỉ www.csgt.vn.

(Ảnh minh hoạ)
Ngoài ra, người vi phạm có thể liên hệ trực tiếp tới Đội Chỉ huy giao thông và điều khiển đèn tín hiệu giao thông của Phòng CSGT Hà Nội tại địa chỉ số 54 Trần Hưng Đạo, phường Cửa Nam, TP Hà Nội (số điện thoại: 0692.196.440) để được hướng dẫn, giải quyết.
Theo nhà chức trách, với người dân cư trú trên địa bàn Hà Nội, có thể đến trực tiếp trụ sở của 14 Đội CSGT địa bàn thuộc Phòng CSGT Hà Nội để giải quyết vụ việc vi phạm hành chính.
T.Hà (Theo Thời Trang Vàng)
Tin được quan tâm
Tin cùng mục
Tin mới cập nhật